- 銷售熱線:0632-5113088
- 銷售熱線:0632-5113066
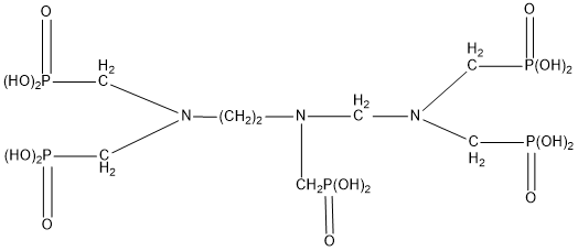
二乙烯三胺五甲叉膦酸DTPMPA
Diethylene Triamine Penta (Methylene Phosphonic Acid) (DTPMPA)
CAS No. 15827-60-8
別名:二乙烯三胺五亞甲基膦酸;DETPMP;二亞乙基三氨基五甲基磷酸;
分子式 C9H28O15N3P5 相對分子質量:573.2
一、性能與用途
DTPMPA無毒,易溶于酸性溶液中,阻垢緩蝕效果俱佳且耐溫性好,可抑制碳酸鹽、硫酸鹽垢的生成,在堿性環境和高溫下(210℃以上)阻垢緩蝕性能較其它有機膦好。DTPMPA在水處理中用作循環冷卻水和鍋爐水的阻垢緩蝕劑,特別適用于堿性循環冷卻水中作為不調pH的阻垢緩蝕劑,并可用于含碳酸鋇高的油田注水和冷卻水、鍋爐水的阻垢緩蝕劑;在復配藥劑中單獨使用本品,無需投加分散劑,污垢沉積量仍很小。
DTPMPA也可用作過氧化物穩定劑(特別是高溫條件下雙氧水穩定效果好)、紡織印染用螯合劑、顏料的分散劑、氧脫木素穩定劑、化肥中微量元素攜帶劑、混凝土添加劑。此外,在造紙、電鍍、金屬酸洗和化妝品等方面也得到了廣泛應用。還可作氧化性殺菌劑的穩定劑。
二、技術指標 符合HG/T 3777-2023
| 項 目 | 指 標 |
| HG/T 3777-2023 | |
| 外 觀 | 棕黃色或棕紅色粘稠液體 |
| 活性組分/% | ≥ 50.0 |
| 鈣螯合劑(以CaCO3計) / (mg/g) | ≥ 450 |
| 亞磷酸(以PO33-計)/% | ≤3.0 |
| 氯化物(以Cl-計)/% | 14.0~17.0 |
| 鐵(以Fe)含量/(μg/g) | ≤ 20.0 |
| pH值(10 g/L 水溶液) | ≤ 2.0 |
| 密度(20℃)/(g/cm3) | ≥ 1.35 |
三、使用方法
DTPMPA作阻垢劑一般使用濃度1~30mg/L,作清洗劑一般使用濃度1000~2000mg/L;通常與聚羧酸型阻垢分散劑配合使用。在其他行業使用時,應根據試驗確定 用量。
四、包裝與貯存
DTPMPA用塑料桶包裝,每桶30kg或根據用戶需要確定。貯于室內陰涼處,貯存期為十二個月。
五、安全防護
DTPMPA為酸性,操作時注意勞動保護,應避免與皮膚、眼睛等接觸,接觸后用大量清水沖洗。
地址:山東省棗莊市市中區十里泉東路1號 網址:http://www.beijingdingcan.cn E-mail:th@thwater.com
版權所有© :2006-2021 山東泰和科技股份有限公司 魯ICP備09091669號-43


